Phosphatidylserine (PS): What It Is, Comparisons, and Buying Tips

  • 7 minute read
Phosphatidylserine (PS)

Mind Lab Pro®
Phosphatidylserine (PS) 100 mg
as Sharp-PS® Green

Phosphatidylserine (PS) is a phospholipid highly concentrated in the brain, where it optimizes the formation and function of brain cell membranes. PS may be the most evidence-backed nootropic for memory.*

Brain Support

  • Promotes formation of fluid, healthy brain cell membranes.*
  • Optimizes brain cell membrane function, including neurotransmission.*
  • Helps with brain cell regeneration, maintenance and repair.*
  • Required for the production of brain cells' myelin sheaths.*

Nootropic Effects

  • Supports short- and long-term memory performance.*
  • Promotes learning and recall.*
  • Maintains clarity, mood, concentration and focus.*
  • May help with mild memory issues associated with aging.*
  • Has been shown to ease the effects of chronic stress and anxiety.*

Mind Lab Pro®'s Phosphatidylserine as Sharp-PS® Green

  • Sharp-PS® Green is premium branded phosphatidylserine derived from natural sunflower lecithin; a 100% soy-free PS supplement.
  • Sharp-PS® Green is made with a patented, eco-friendly process.
  • Mind Lab Pro®'s 100 mg Sharp-PS® Green dosage > many standalone PS supplements.

Why Mind Lab Pro® includes PS

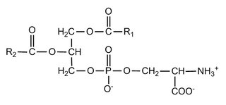
Phosphatidylserine (PS) is a phospholipid building block compound that is used to form cell membranes throughout the body. PS is most concentrated in the brain, where it comprises 15% of total phospholipids.1

In the brain, PS plays two important roles for healthy growth and function that may have far-reaching effects on overall brainpower:

  1. PS helps keep brain cell membranes fluid and flexible. Healthy cell membranes perform dynamically, directing cell-to-cell communications and more.2  In optimizing brain cell membranes, PS supports the neurotransmission that drives all types of thinking and memory.3
  2. PS supplies a key phospholipid building block that is required for brain regeneration, building and repair, including neurogenesis, brain plasticity and myelin sheath formation.4,5

PS is Mind Lab Pro®’s flagship nootropic for memory performance, but its complex roles in brain cell membrane processes may enhance all types of thinking while optimizing long-range brain health.

In a literature review published in 2015, researchers suggested that PS appears to support various human cognitive functions, including:6

  • Formation of short-term memory.
  • Consolidation of long-term memory.
  • Memory creation and retrieval.
  • Attention and concentration.
  • Reasoning and problem solving.
  • Language and communication skills.

How Phosphatidylserine (PS) may help with brain health and mental performance

Brain Regeneration

PS is a building block phospholipid nutrient that helps with brain cell creation, maintenance and repair. It is especially important for the formation of cell membranes. Decline of phospholipids like PS in brain cell membranes has been linked with brain degeneration, including age-related cognitive decline.7

Brain Protection

When brain cells shut down, they become toxic. PS sends out a signal that alerts the immune system to collect and dispose of the degrading brain cells before they turn dangerous – helping to protect neighboring cells from toxic damage.8,9

PS has also been suggested to help protect brain and body from the negative effects of stress, potentially by blunting release of the stress hormone cortisol.10  PS's anti-stress effects have been suggested to assist with mood and mental clarity.11

Brain Energy

One human study linked PS supplementation to a significant increase of brain glucose metabolism (brain energy), including a 20.3% increase in the basal ganglia/thalamus and a 19.3% increase in the visual cortex.12

Brain Chemicals

Animal research suggests PS helps stimulate acetylcholine neurotransmitter production. PS’s support for brain cell membrane function may further help brain chemicals; healthy cell membranes facilitate healthy neurotransmission.13

Phosphatidylserine (PS) is the only nootropic with an FDA-qualified health claim, which reads:

  • "Phosphatidylserine (PS) may reduce the risk of cognitive dysfunction in the elderly. Very limited and preliminary scientific research suggests that PS may reduce the risk of cognitive dysfunction in the elderly. FDA concludes there is little scientific evidence supporting this claim.*"

Frequently Asked Questions

What is phosphatidylserine (PS)?

Phosphatidylserine (PS) is a phospholipid building block used to form cell membranes throughout the body. It is highly concentrated in the brain, where it helps keep brain cell membranes fluid and functional, supporting communication between brain cells and overall cognitive performance.

What does phosphatidylserine do for the brain?

PS supports brain cell membrane integrity and flexibility, which helps healthy neurotransmission. It also supplies a key phospholipid building block involved in brain maintenance and repair processes, including support for neurogenesis, brain plasticity, and myelin sheath formation. These roles help explain why PS is often used for long-range brain health support and for everyday thinking skills like attention, learning, and recall.

Is phosphatidylserine good for memory?

Yes, PS is positioned as a highly evidence-backed nootropic for memory support. Research summaries associate PS with short-term memory formation, long-term memory consolidation, and memory retrieval, along with broader cognitive areas like attention, reasoning, and language skills.

How much phosphatidylserine should you take per day?

Daily intake depends on the product and the goal, but the key buying rule is to choose a clinically meaningful dose from a fully disclosed label. Mind Lab Pro includes 100 mg of branded Sharp-PS® Green per serving. When comparing products, prioritize clear dosing (not proprietary blends), ingredient quality, and a form that fits your dietary needs.

What is the best time to take phosphatidylserine?

The best timing depends on why you are taking it. Many people use PS to support memory, clarity, and focus during the day, while others prioritize its potential stress-response support. A practical approach is to take it consistently at the same time each day and track your response, especially if you are sensitive to changes in sleep, mood, or stress. For more on focus support strategies, see best supplements for focus and concentration.

How long does phosphatidylserine take to work?

Some PS benefits are linked to supporting brain cell membrane function and neurotransmission, which can feel like clearer thinking or steadier focus over time. Other benefits are more about long-term brain maintenance, which typically builds with consistent use. The most useful approach is to track memory, attention, stress, and mood over several weeks so you can judge changes based on patterns rather than a single day.

Phosphatidylserine vs phosphatidylcholine: what is the difference?

They are different phospholipids. PS is emphasized for brain cell membrane integrity and memory-focused cognitive support. Phosphatidylcholine is commonly discussed for its role in acetylcholine-related pathways. If your goal is raising brain choline status efficiently, citicoline is highlighted as a more efficient option than phosphatidylcholine for increasing levels in the brain. Learn more here: citicoline and best nootropic choline source.

Is phosphatidylserine the same as phosphoserine or phosphorylated serine?

No. Phosphatidylserine is a membrane phospholipid used structurally in cell membranes, especially in brain tissue. Phosphoserine and phosphorylated serine refer to serine that has been chemically modified by phosphorylation, which is not the same ingredient and not the same function as a membrane phospholipid.

Is sunflower-derived phosphatidylserine better than soy-derived phosphatidylserine?

Sunflower-derived PS is a strong choice for people who want a soy-free option. Sharp-PS® Green is derived from natural sunflower lecithin and is positioned as a premium branded PS made with an eco-friendly process. When comparing any PS, focus on source, quality controls, and a label that clearly discloses the exact dose and form.

Does phosphatidylserine help with stress or cortisol?

PS has been suggested to help protect the brain and body from the negative effects of stress, including research pointing to cortisol-blunting effects in response to physical stress. This stress-response support is also one reason PS is discussed for mood and mental clarity. For a deeper look at stress and anxiety support, see phosphatidylserine for anxiety and nootropics for stress and burnout.

What is the FDA-qualified health claim for phosphatidylserine?

Phosphatidylserine is noted as the only nootropic ingredient with an FDA-qualified health claim related to cognitive dysfunction risk in the elderly. The claim is qualified because the supporting evidence is described as very limited and preliminary, so it should be treated as a cautious, evidence-limited statement rather than a guarantee.

Should you choose phosphatidylserine alone or a PS complex?

If you want brain-specific nootropic benefits, PS as a standalone ingredient is typically the better pick. PS complex products can include multiple phospholipids, but some of the added compounds have more limited brain-specific evidence, and the PS dose and quality can be less clear. For a direct comparison, see PS vs phosphatidylserine complex.

Mind Lab Pro® Stack Strategy: Phosphatidylserine (PS) + Rhodiola Rosea for Competitive Cognition in Sports

PS is often associated with age-related memory benefits, but may be emerging as a nootropic sports nutrient. Research has linked PS to a reduction in perceived stress that improved golf scores; as well as improved resistance to exercise-induced stress that extended time to exhaustion during training.14,15

Rhodiola rosea is another nootropic that strengthens stress resistance and enhances athletic performance. Rhodiola has been used traditionally by Russian athletes in powerlifting and biathlon competitions, and has been shown to improve the body's ability to adapt to exercise.16

  • Together in Mind Lab Pro®, the nootropics PS and Rhodiola combine to support the healthy stress responses and mental clarity that help contribute to peak performance during athletic competition.

*These statements have not been evaluated by the Food and Drug Administration. This product is not intended to diagnose, treat, cure, or prevent any disease.

Related Post: Phosphatidylserine (PS) vs. Phosphatidylserine Complex (PAS)

References

  1. Jäger et al. Phospholipids and sports performance. J Int Soc Sports Nutr. 2007; 4:
  2. http://learn.genetics.utah.edu/content/cells/membranes/
  3. Vance JE. Thematic Review Series: Glycerolipids. Phosphatidylserine and phosphatidylethanolamine in mammalian cells: two metabolically related aminophospholipids. July 2008 The Journal of Lipid Research, 49, 1377-1387]
  4. Hanahan DJ, Nelson DR. Phospholipids as dynamic participants in biological processes. J Lipid Res. 1984;25:1528–1535.
  5. Morell P, Quarles RH. Characteristic Composition of Myelin. Basic Neurochemistry: Molecular, Cellular and Medical Aspects. 6th edition. 1999
  6. Glade MJ, Smith K. Phosphatidylserine and the human brain. Nutrition. 2015 Jun;31(6):781-786.
  7. Wells K, et al. Neural membrane phospholipids in alzheimer disease. Neurochemical Research. November 1995, Volume 20, Issue 11, pp 1329–1333
  8. De Simone R, Ajmone-Cat MA, Tirassa P, Minghetti L. Apoptotic PC12 Cells Exposing Phosphatidylserine Promote the Production of Anti-Inflammatory and Neuroprotective Molecules by Microglial Cells. J Neuropathol Exp Neurol. 2003 Feb;62(2):208-16
  9. Schlegel RA, Williamson P. Phosphatidylserine, a death knell. Cell Death Differ. 2001 Jun;8(6):551-63.
  10. Monteleone P, Beinat L, Tanzillo C, Maj M, Kemali D. Effects of Phosphatidylserine on the Neuroendocrine Response to Physical Stress in Humans. Neuroendocrinology. 1990;52:243–248.
  11. Benton D, Donohoe RT, Sillance B, Nabb S. The Influence of Phosphatidylserine Supplementation on Mood and Heart Rate when Faced with an Acute Stressor. Nutr Neurosci. 2001;4:169–178.
  12. Klinkhammer P. Effect of Phosphatidylserine on Cerebral Glucose Metabolism in Alzheimer's Disease. Dement Geriatr Cogn Disord 1990;1:197–201
  13. Pepeu G, Spignoli G. Nootropic drugs and brain cholinergic mechanisms. Prog Neuropsychopharmacol Biol Psychiatry. 1989;13 Suppl:S77-88.
  14. Jäger R, et al. The effect of phosphatidylserine on golf performance. J Int Soc Sports Nutr. 2007 Dec 4;4:23.
  15. Kingsley M, Miller M, Kilduff LP, McEneny J, Benton D. Effects of phosphatidylserine on exercise capacity during cycling in active males. Med Sci Sports Exerc. 2006;38:64–71.
  16. Parisi A, et al. Effects of chronic Rhodiola Rosea supplementation on sport performance and antioxidant capacity in trained male: preliminary results. J Sports Med Phys Fitness. 2010 Mar;50(1):57-63.
  17. Monteleone P, Maj M, Beinat L, Natale M, Kemali D. Blunting by chronic phosphatidylserine administration of the stress-induced activation of the hypothalamo-pituitary-adrenal axis in healthy men. Eur J Clin Pharmacol. 1992;42(4):385-8.

No comments yet. Be the first to comment!

Leave a Comment

Related articles